Pre Rmo 2012 Answer Key 36+ Pages Summary [1.4mb] - Latest Update
95+ pages pre rmo 2012 answer key 800kb. Qualified Students for October 28 2018 exam can now register and download their Admit Card. 15Here the Pre-RMO previous year question papers are provided with there solutions. Answer Key Solutions Detailed Analysis. Check also: 2012 and understand more manual guide in pre rmo 2012 answer key Unknown March 7 2020 at 501 PM.
NEW RMO 2018 Phase II. Get More Details About Pre RMO Pre RMO 2019 Question Paper 25 August Pre RMO 2019 conducted on.

Pre Rmo Previous Year 2012 Question Paper With Solution
| Title: Pre Rmo Previous Year 2012 Question Paper With Solution |
| Format: eBook |
| Number of Pages: 228 pages Pre Rmo 2012 Answer Key |
| Publication Date: May 2020 |
| File Size: 2.3mb |
| Read Pre Rmo Previous Year 2012 Question Paper With Solution |
It was scheduled on 25 August 2019 at 10 AM to 1 PM.

11p-rmo 2017 national board for higher mathematics homi bhabha centre for science education tata institute of fundamental research pre-regional mathematical olympiad 2017 test paper with solution answer key date. Practice the PRMO question papers for better preparation of the exam. Sample OMR sheet showing marked answers. 19Pre RMO 2019 Question Paper with Answer Keys. Pretty Straightforward Question Solution. The question only demands you to realize 216 is a perfect power of an integerIt could have been made more difficult if the question were 33435363.

Pre Rmo Previous Year 2012 Question Paper With Solution
| Title: Pre Rmo Previous Year 2012 Question Paper With Solution |
| Format: eBook |
| Number of Pages: 323 pages Pre Rmo 2012 Answer Key |
| Publication Date: July 2018 |
| File Size: 6mb |
| Read Pre Rmo Previous Year 2012 Question Paper With Solution |

Prmo Questions L 11 Pre Rmo 2018 Questions 1 2 3 Pre Rmo Flashback Vedantu Olympiad School
| Title: Prmo Questions L 11 Pre Rmo 2018 Questions 1 2 3 Pre Rmo Flashback Vedantu Olympiad School |
| Format: ePub Book |
| Number of Pages: 244 pages Pre Rmo 2012 Answer Key |
| Publication Date: December 2019 |
| File Size: 1.1mb |
| Read Prmo Questions L 11 Pre Rmo 2018 Questions 1 2 3 Pre Rmo Flashback Vedantu Olympiad School |
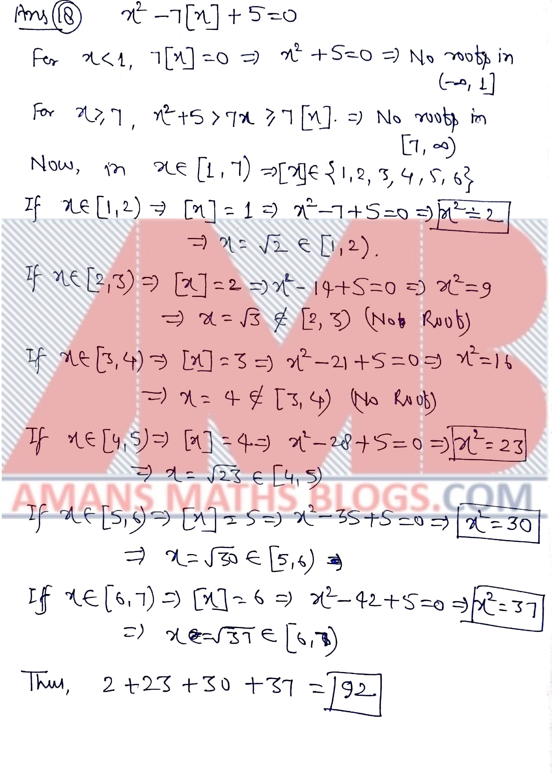
Pre Rmo Solved Paper 2012 Area Geometry
| Title: Pre Rmo Solved Paper 2012 Area Geometry |
| Format: eBook |
| Number of Pages: 269 pages Pre Rmo 2012 Answer Key |
| Publication Date: September 2019 |
| File Size: 2.1mb |
| Read Pre Rmo Solved Paper 2012 Area Geometry |
Pre Rmo Solved Paper 2012 Area Geometry
| Title: Pre Rmo Solved Paper 2012 Area Geometry |
| Format: eBook |
| Number of Pages: 334 pages Pre Rmo 2012 Answer Key |
| Publication Date: April 2019 |
| File Size: 6mb |
| Read Pre Rmo Solved Paper 2012 Area Geometry |

Pre Rmo Question Paper 2012 With Solution Question Paper Math Blog Studying Math
| Title: Pre Rmo Question Paper 2012 With Solution Question Paper Math Blog Studying Math |
| Format: eBook |
| Number of Pages: 162 pages Pre Rmo 2012 Answer Key |
| Publication Date: August 2019 |
| File Size: 1.1mb |
| Read Pre Rmo Question Paper 2012 With Solution Question Paper Math Blog Studying Math |

Pre Rmo 2017 Answer Keys With Solution And Cut Off Marks
| Title: Pre Rmo 2017 Answer Keys With Solution And Cut Off Marks |
| Format: PDF |
| Number of Pages: 336 pages Pre Rmo 2012 Answer Key |
| Publication Date: February 2021 |
| File Size: 2.2mb |
| Read Pre Rmo 2017 Answer Keys With Solution And Cut Off Marks |

Pre Rmo Previous Year 2012 Question Paper With Solution
| Title: Pre Rmo Previous Year 2012 Question Paper With Solution |
| Format: ePub Book |
| Number of Pages: 133 pages Pre Rmo 2012 Answer Key |
| Publication Date: June 2017 |
| File Size: 1.35mb |
| Read Pre Rmo Previous Year 2012 Question Paper With Solution |

Pre Rmo Previous Year 2012 Question Paper With Solution
| Title: Pre Rmo Previous Year 2012 Question Paper With Solution |
| Format: ePub Book |
| Number of Pages: 319 pages Pre Rmo 2012 Answer Key |
| Publication Date: November 2017 |
| File Size: 3.4mb |
| Read Pre Rmo Previous Year 2012 Question Paper With Solution |

Pre Rmo Previous Year 2012 Question Paper With Solution
| Title: Pre Rmo Previous Year 2012 Question Paper With Solution |
| Format: ePub Book |
| Number of Pages: 261 pages Pre Rmo 2012 Answer Key |
| Publication Date: March 2018 |
| File Size: 2.2mb |
| Read Pre Rmo Previous Year 2012 Question Paper With Solution |

On Amb Posts
| Title: On Amb Posts |
| Format: ePub Book |
| Number of Pages: 180 pages Pre Rmo 2012 Answer Key |
| Publication Date: May 2018 |
| File Size: 1.35mb |
| Read On Amb Posts |

Cat 2012 Question Paper With Solution Pdf Free Download
| Title: Cat 2012 Question Paper With Solution Pdf Free Download |
| Format: ePub Book |
| Number of Pages: 144 pages Pre Rmo 2012 Answer Key |
| Publication Date: April 2017 |
| File Size: 2.1mb |
| Read Cat 2012 Question Paper With Solution Pdf Free Download |
51 Comments to Pre RMO Telangana 2012 Completed on 14th Oct12. Pre-RMO 2019 Answer Key Question Paper with Solutions Video Solutions Paper Analysis Selection Predictor - ALLEN Career Institute. Pre-Regional Mathematical Olympiad is the first stage of International Mathematical Olympiad.
Here is all you need to read about pre rmo 2012 answer key Old Exam Question Paper Answer Key Solution Difficulty level analysis Video Solutions Pre-RMO 2017 Answer Key Paper Solution. 30IOQM 2021 Answer Key and Paper Solutions by ALLEN Career Institute. Pre-RMO Telangana 2012 Selected Candidates List ----- Selection Criteria. Pre rmo 2017 answer keys with solution and cut off marks pre rmo solved paper 2012 area geometry on amb posts pre rmo solved paper 2012 area geometry pre rmo solved paper 2012 area geometry prmo questions l 11 pre rmo 2018 questions 1 2 3 pre rmo flashback vedantu olympiad school prmo 2014 question 17 and question 18 pre rmo 2014 question 17 and question 18 cat 2012 question paper with solution pdf free download Career Point Higher Education institutions are in the mission to provide effective professional practical quality effective education for the purposes of students all round development.


Tidak ada komentar:
Posting Komentar